企业介绍

发布日期:2021-06-22 浏览次数:4238

公司简介

米兰官方网站(简称“米兰milan(中国)”)是山东米兰官方网站医药集团下属企业,成立于 1998 年,是山东省化妆品行业龙头企业、专精特新企业、瞪羚企业、高新技术企业。是国内最早进行玻尿酸、聚谷氨酸成分护肤品的研发、生产、品牌营销及ODM/OEM的化妆品科技企业。

研发实力

米兰官方网站研发创新中心,围绕消费者需求,以技术创新、体验创新为核心任务,自成立以来秉承妆药同源的严谨基因,关注消费者体验,探索了基础研究,到应用开发,到产品创新的产学研一体化的创新逻辑。

研发创新团队成员专业涵盖生物、化学、医药等多个领域,硕士及以上占比近75%。拥有40余项专利,发表20余篇科技论文。

被认定为山东省企业技术中心、山东省皮肤护理技术工程实验室、山东省技术创新示范企业。

依托米兰官方网站医药集团及山东省药学科学院,与中科院、北工商、上海交大、上海应技大、江南大学、山东大学等多所高校、科研机构建立长期技术合作。

开发流程:

技术方向:

玻尿酸+护肤科技(玻尿酸护肤的缔造者)

玻尿酸存在与人体的皮肤、眼睛等多个器官中,玻尿酸是维持皮肤盈润和弹性的重要因素,随年龄增长皮肤中玻尿酸含量降低。

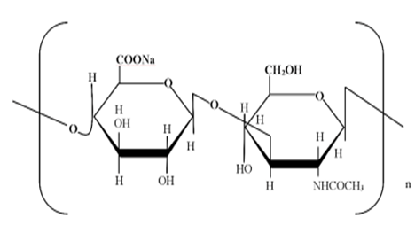
作为国内发酵法玻尿酸的缔造者,自公司成立至今一直致力于玻尿酸+的护肤的研究与创新,从第一款添加了玻尿酸的护肤霜、添加玻尿酸的消毒产品开始,到颐莲首创第一款玻尿酸原液,在行业内首先开创了玻尿酸在化妆品中的应用,发挥其成膜锁水、智能保湿功效。再发现不同分子量玻尿酸的复配使用,层层润透,实现立体“水库”保湿护肤。另外玻尿酸与不同功效生物活性成分协同增效,拓展了玻尿酸的应用领域。通过对玻尿酸进行衍生酯化修饰改造技术,例如嫁接硅烷基团,首创专利硅烷化HA,实现玻尿酸更优的抗衰、修护功效。玻尿酸与富勒烯的专利结合成分,实现1+1>2的强大抗氧修护抗衰功效。未来继续深入对玻尿酸的探索和应用,通过不同改造技术修饰玻尿酸或将玻尿酸与生物活性成分复配,提供先进的玻尿酸护肤解决方案,全方面解决肌肤的各个层次问题。

玻尿酸分子结构

硅烷化玻尿酸分子结构


线粒体靶向科技(精准定制护肤倡导者)

线粒体,被喻为人体细胞的“发动机”,不仅作为“能量工厂”拉动整个细胞的生命活动,而且是沟通和协调许多重要生理过程的调节中枢。线粒体的衰老是机体衰老的根源之一,线粒体也一直是生命科学的研究热点。善颜品牌坚持“精准护肤 靶向抗衰”的品牌理念,以前沿科技为指导、以线粒体为抗衰老靶点,围绕能量的产生、代谢、自由基、炎症、自噬等方向,展开了一系列线粒体靶向科技的研究。品牌独有的Tri-BioBoostTM核心科技,精准靶向激活线粒体,调动皮肤细胞自身的抗老化能力,从根源上减少氧化自由基的产生,同时加速能量的生成,为皮肤细胞供能充电,通过“抗氧-注能-赋活”,重启肌肤细胞源动力,从根源上精准解决抗衰老难题。

衰老的标志(López-Otín C, Blasco MA, Partridge L, Serrano M, Kroemer G. The hallmarks of aging. Cell. 2013 Jun 6;153(6):1194-217.)

微生态护肤科技(微生态护肤开拓者)

皮肤微生态系统是由各类微生物、皮肤表面的组织细胞及各种分泌物、微环境等共同组成的生态系统,它们共同维持着皮肤微生态平衡,在皮肤表面形成第一道生物屏障,具有重要的生理作用。瑷尔博士品牌作为国内微生态护肤技术开拓者,引领行业共识。关注中国人群皮肤微生态,针对不同年龄、性别和生活环境的中国人群,通过人体微生物组学、人体皮肤生理参数测定以及问卷调查的多维度分析,研究不同皮肤状态下的皮肤菌群组成、菌群代谢机制以及对皮肤的影响,揭示中国人群的皮肤生理特性、皮肤菌群的变化规律以及两者的相关性;研究健康人群面部菌群,分离、筛选和鉴定皮肤菌,形成皮肤菌筛选流程,并建立中国健康人群皮肤菌菌种资源库;基于皮肤菌及其对皮肤影响的基础研究成果,科学筛选原料及配方制剂,调节皮肤微生态,改善不同肌肤问题。

衰老皮肤人群皮肤细菌与皮肤生理参数相关性分析(成果示例)

精油疗愈科技

薰衣草精油富含醇、烯、萜、酯类等芳香成分,是公认的抗炎、抗氧化、抑菌、镇静、舒压、助眠等效果显著的植物精油,已被广泛应用于辅助医疗、芳香疗愈、护肤等领域。eprhan(伊帕尔汗)品牌地处世界三大薰衣草产地之一的新疆伊犁河谷,凭借独有的产地优势和技术平台,我们针对薰衣草精油在其精制提纯、副产物加工利用、抗炎机理、舒压助眠机理、包裹缓释等方面进行了深入的研究工作。同时,我们结合其他多种植物精油,围绕皮肤和情绪两个方面,研究下丘脑-垂体-肾上腺轴(HPA轴)在中枢神经系统和皮肤应激反应中的作用机制,探索以油养肤、情绪护肤的新方向。

压力对机体的作用机制(图片来源于网络)

医美器械

以生物材料透明质酸钠、重组人源型胶原蛋白为主要目标,研发一系列医美用途的器械产品,聚焦医美产业的填充美容、改善皮肤以及术后修复等发展方向,实现高科技产品的工业化生产,打造颜值产业新高度。主要包括填充整形用植入类产品,术后修复的功能性无菌敷料类产品,真皮层注射保湿补水的改善皮肤状态的产品等。


重组胶原蛋白技术:

胶原是细胞外基质的主要组成成分,是动物体内含量最多、分布最广的蛋白质。人体中含有多达28种不同亚型的胶原蛋白,其中Ⅲ型胶原在婴儿皮肤中含量丰富,具有更强的组织修复愈合活性和机理;

胶原在结构上由三个自身按左螺旋排列的多肽链构成,三条相互独立的胶原蛋白肽链依靠甘氨酸之间形成的氢键维系三股螺旋相互缠绕的结构,众多胶原蛋白大分子又可彼此并排形成纤维互相交联的结构。胶原蛋白正常的三螺旋构象是其理化特性和生物学活性的基础,使其具备高拉伸强度、生物降解性能、低抗原活性、低刺激性、低细胞毒性。

人源III型胶原蛋白目标区域——→接入载体——→基因工程菌——→菌种培养发酵——→目标蛋白表达——→收集菌体——→菌体破壁——→分离纯化——→除菌过滤——→配制灌装——→冷冻干燥——→贴标包装——→成品

交联透明质酸钠凝胶技术:

透明质酸钠——→交联剂反应——→凝胶——→制粒——→透析除杂——→配制灌装——→湿热灭菌——→贴标包装——→成品


公司简介

米兰官方网站(简称“米兰milan(中国)”)是山东米兰官方网站医药集团下属企业,成立于 1998 年,是山东省化妆品行业龙头企业、专精特新企业、瞪羚企业、高新技术企业。是国内最早进行玻尿酸、聚谷氨酸成分护肤品的研发、生产、品牌营销及ODM/OEM的化妆品科技企业。

研发实力

米兰官方网站研发创新中心,围绕消费者需求,以技术创新、体验创新为核心任务,自成立以来秉承妆药同源的严谨基因,关注消费者体验,探索了基础研究,到应用开发,到产品创新的产学研一体化的创新逻辑。

研发创新团队成员专业涵盖生物、化学、医药等多个领域,硕士及以上占比近75%。拥有40余项专利,发表20余篇科技论文。

被认定为山东省企业技术中心、山东省皮肤护理技术工程实验室、山东省技术创新示范企业。

依托米兰官方网站医药集团及山东省药学科学院,与中科院、北工商、上海交大、上海应技大、江南大学、山东大学等多所高校、科研机构建立长期技术合作。

开发流程:

技术方向:

玻尿酸+护肤科技(玻尿酸护肤的缔造者)

玻尿酸存在与人体的皮肤、眼睛等多个器官中,玻尿酸是维持皮肤盈润和弹性的重要因素,随年龄增长皮肤中玻尿酸含量降低。

作为国内发酵法玻尿酸的缔造者,自公司成立至今一直致力于玻尿酸+的护肤的研究与创新,从第一款添加了玻尿酸的护肤霜、添加玻尿酸的消毒产品开始,到颐莲首创第一款玻尿酸原液,在行业内首先开创了玻尿酸在化妆品中的应用,发挥其成膜锁水、智能保湿功效。再发现不同分子量玻尿酸的复配使用,层层润透,实现立体“水库”保湿护肤。另外玻尿酸与不同功效生物活性成分协同增效,拓展了玻尿酸的应用领域。通过对玻尿酸进行衍生酯化修饰改造技术,例如嫁接硅烷基团,首创专利硅烷化HA,实现玻尿酸更优的抗衰、修护功效。玻尿酸与富勒烯的专利结合成分,实现1+1>2的强大抗氧修护抗衰功效。未来继续深入对玻尿酸的探索和应用,通过不同改造技术修饰玻尿酸或将玻尿酸与生物活性成分复配,提供先进的玻尿酸护肤解决方案,全方面解决肌肤的各个层次问题。

玻尿酸分子结构

硅烷化玻尿酸分子结构


线粒体靶向科技(精准定制护肤倡导者)

线粒体,被喻为人体细胞的“发动机”,不仅作为“能量工厂”拉动整个细胞的生命活动,而且是沟通和协调许多重要生理过程的调节中枢。线粒体的衰老是机体衰老的根源之一,线粒体也一直是生命科学的研究热点。善颜品牌坚持“精准护肤 靶向抗衰”的品牌理念,以前沿科技为指导、以线粒体为抗衰老靶点,围绕能量的产生、代谢、自由基、炎症、自噬等方向,展开了一系列线粒体靶向科技的研究。品牌独有的Tri-BioBoostTM核心科技,精准靶向激活线粒体,调动皮肤细胞自身的抗老化能力,从根源上减少氧化自由基的产生,同时加速能量的生成,为皮肤细胞供能充电,通过“抗氧-注能-赋活”,重启肌肤细胞源动力,从根源上精准解决抗衰老难题。

衰老的标志(López-Otín C, Blasco MA, Partridge L, Serrano M, Kroemer G. The hallmarks of aging. Cell. 2013 Jun 6;153(6):1194-217.)

微生态护肤科技(微生态护肤开拓者)

皮肤微生态系统是由各类微生物、皮肤表面的组织细胞及各种分泌物、微环境等共同组成的生态系统,它们共同维持着皮肤微生态平衡,在皮肤表面形成第一道生物屏障,具有重要的生理作用。瑷尔博士品牌作为国内微生态护肤技术开拓者,引领行业共识。关注中国人群皮肤微生态,针对不同年龄、性别和生活环境的中国人群,通过人体微生物组学、人体皮肤生理参数测定以及问卷调查的多维度分析,研究不同皮肤状态下的皮肤菌群组成、菌群代谢机制以及对皮肤的影响,揭示中国人群的皮肤生理特性、皮肤菌群的变化规律以及两者的相关性;研究健康人群面部菌群,分离、筛选和鉴定皮肤菌,形成皮肤菌筛选流程,并建立中国健康人群皮肤菌菌种资源库;基于皮肤菌及其对皮肤影响的基础研究成果,科学筛选原料及配方制剂,调节皮肤微生态,改善不同肌肤问题。

衰老皮肤人群皮肤细菌与皮肤生理参数相关性分析(成果示例)

精油疗愈科技

薰衣草精油富含醇、烯、萜、酯类等芳香成分,是公认的抗炎、抗氧化、抑菌、镇静、舒压、助眠等效果显著的植物精油,已被广泛应用于辅助医疗、芳香疗愈、护肤等领域。eprhan(伊帕尔汗)品牌地处世界三大薰衣草产地之一的新疆伊犁河谷,凭借独有的产地优势和技术平台,我们针对薰衣草精油在其精制提纯、副产物加工利用、抗炎机理、舒压助眠机理、包裹缓释等方面进行了深入的研究工作。同时,我们结合其他多种植物精油,围绕皮肤和情绪两个方面,研究下丘脑-垂体-肾上腺轴(HPA轴)在中枢神经系统和皮肤应激反应中的作用机制,探索以油养肤、情绪护肤的新方向。

压力对机体的作用机制(图片来源于网络)

医美器械

以生物材料透明质酸钠、重组人源型胶原蛋白为主要目标,研发一系列医美用途的器械产品,聚焦医美产业的填充美容、改善皮肤以及术后修复等发展方向,实现高科技产品的工业化生产,打造颜值产业新高度。主要包括填充整形用植入类产品,术后修复的功能性无菌敷料类产品,真皮层注射保湿补水的改善皮肤状态的产品等。


重组胶原蛋白技术:

胶原是细胞外基质的主要组成成分,是动物体内含量最多、分布最广的蛋白质。人体中含有多达28种不同亚型的胶原蛋白,其中Ⅲ型胶原在婴儿皮肤中含量丰富,具有更强的组织修复愈合活性和机理;

胶原在结构上由三个自身按左螺旋排列的多肽链构成,三条相互独立的胶原蛋白肽链依靠甘氨酸之间形成的氢键维系三股螺旋相互缠绕的结构,众多胶原蛋白大分子又可彼此并排形成纤维互相交联的结构。胶原蛋白正常的三螺旋构象是其理化特性和生物学活性的基础,使其具备高拉伸强度、生物降解性能、低抗原活性、低刺激性、低细胞毒性。

人源III型胶原蛋白目标区域——→接入载体——→基因工程菌——→菌种培养发酵——→目标蛋白表达——→收集菌体——→菌体破壁——→分离纯化——→除菌过滤——→配制灌装——→冷冻干燥——→贴标包装——→成品

交联透明质酸钠凝胶技术:

透明质酸钠——→交联剂反应——→凝胶——→制粒——→透析除杂——→配制灌装——→湿热灭菌——→贴标包装——→成品